-
-
-
Tổng tiền thanh toán:
-
Bài tập đốt cháy Este và các vấn đề cần lưu ý
Đăng bởi CÔNG TY CỔ PHẦN ĐẦU TƯ THƯƠNG MẠI VÀ DỊCH VỤ GIA KHÁNH
Thứ Sun,
30/05/2021
Este là một trong những nội dung quan trọng của chương trình hóa hữu cơ. Người ta dựa vào các tính chất vật lý, tính chất hóa học của nó để điều chế và ứng dụng sản xuất vào các lĩnh vực như: dung môi hữu cơ, công nghiệp thực phẩm, mỹ phẩm, tạo thủy tinh hữu cơ, chất dẻo, dược phẩm ...
** Lưu ý: Bài tập đốt cháy Este là một dạng bài tập điển hình thuộc nhóm Các bài toán đốt cháy trong hóa hữu cơ. Nhóm các bài toán đốt cháy này chiếm khoảng 60% các bài tập trong hóa hữu cơ. Nó xuất hiện ở hầu khắp các chuyên đề quan trọng của hóa hữu cơ.
Dưới đây sẽ là những lưu ý quan trọng và các bài tập minh họa cho bài toán đốt cháy Este:
Lý thuyết và một số lưu ý khi giải bài tập đốt cháy este
Este có công thức phân tử tương tự như axit cacboxylic, do có ít nhất 1 liên kết đôi trong nhóm chức nên ta luôn có: 
Chú ý: Hai dãy đồng đẳng sau đây(với k = số π + vòng):
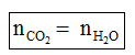
- Este no, đơn chức, mạch hở: CnH2nO2 (k =1, vì đơn chức nên 1 liên kết π nằm trong nhóm chức).
=> Khi cháy: CnH2nO2+ O2 ---> nCO2 + nH2O

- Dãy este có CTPT CnH2n-2Oa (k = 2, tương tự ankin hay ankađien)
=> Khi cháy: CnH2n-2Oa+ O2 ---> nCO2 + (n-1)H2O

- TH1: a = 2 → CnH2n-2O2: este đơn chức, mạch hở, không no chứa 1 liên kết đôi C=C.
- TH2: a = 4 → CnH2n-2O4: este no, mạch hở, hai chức.
Ngoài trường hợp này ra đề thi có thể cho những este có k > 2, khi đó chú ý tới công thức tổng quát: Este có độ bất bão hòa là k, có CT: CnH2n+2-2kOa
Khi đó:
- .

Khi k > số nhóm chức este thì este đó là không no (có thể nằm ở gốc của axit hoặc gốc của ancol, khi đó cần sử dụng thêm các dữ kiện đề bài để xác định chính xác cấu tạo của este).
Các em xem và tải Bài tập đốt cháy Este mẫu về máy tại đây |
Trong cuốn sách Làm chủ môn Hóa trong 30 ngày Tập 1 Hóa hữu cơ có đề cập đến Lý thuyết Este tại chương 7 và các giải mọi bài toán đốt cháy tại chương 3. Các em có thể tham khảo thông tin về sách tại đây |
Tin tức khác:
- Phổ điểm chi tiết tất cả các môn thi THPT quốc gia 2023 đối sánh với 2022 - phần 4 (Lịch sử, Địa lí)(18/07/2023)
- Phổ điểm chi tiết tất cả các môn thi THPT quốc gia 2023 đối sánh với 2022 - phần 3 (Hóa học, Sinh học)(18/07/2023)
- Phổ điểm chi tiết tất cả các môn thi THPT quốc gia 2023 đối sánh với 2022 - phần 2 (Tiếng Anh, Vật lí)(18/07/2023)
- Phổ điểm chi tiết tất cả các môn thi THPT quốc gia 2023 đối sánh với 2022 - phần 1 (Toán, Văn)(18/07/2023)
- Nhận định chi tiết về phổ điểm môn ngữ văn thi THPT Quốc gia 2023(18/07/2023)
- Nhận định chi tiết về phổ điểm môn toán thi THPT Quốc gia 2023(18/07/2023)


Các em xem và tải Bài tập đốt cháy Este mẫu về máy