-
-
-
Tổng tiền thanh toán:
-
Các dạng bài tập về ADN lớp 10
Đăng bởi CÔNG TY CỔ PHẦN ĐẦU TƯ THƯƠNG MẠI VÀ DỊCH VỤ GIA KHÁNH
Thứ Mon,
31/05/2021
Khái niệm về ADN các em được học ở chương trình sinh học lớp 10. Ở lớp 10, thì khái niệm và các bài tập về ADN mới chỉ dừng ở mức độ cơ bản, mang tính chất giới thiệu. Và phải đến năm lớp 12, các em mới học lại nội dung này, và thực hành nhiều các bài tập liên quan đến nó trong phần Di truyền học.
Dưới đây là các dạng bài cơ bản về ADN mà các em có thể gặp phải khi học sinh học 10.
|
ADN tồn tại chủ yếu trong nhân tế bào và cũng có trong ti thể, lạp thể trong tế bào chất. Đó là một axit hữu cơ, có chứa các nguyên tố C, H, N, O và P mà mô hình của nó được 2 nhà bác học J.Watson và F.Crick công bố vào năm 1953. ADN đảm nhận chức năng lưu trữ, bảo quản và truyền đạt thông tin di truyền ở các loài sinh vật. |
Nội dung các dạng bài và bài tập ví dụ được chia sẻ bởi cô giáo Hà Thị Ngọc Anh - giáo viên chuyên môn phụ trách môn Sinh tại SPBook.

Dạng 1: Xác định trình tự nuclêôtit trên ADN, ARN
|
Phương pháp: Áp dụng NTBS:
+A liên kết với T bằng 2 liên kết hiđrô và ngược lại +G liên kết với X bằng 3 liên kết hiđrô và ngược lại.
+A trên mARN bổ sung với T +U trên mARN liên kết với A +G trên mARN liên kết với X và ngược lại. |
|
Ví dụ 1: Một gen chứa đoạn mạch có trình tự nuclêôtit là 3’. . . A- G - X - T - T - A - G - X - A . . .5’. Trình tự nuclêôtit tương ứng trên mạch bổ sung là:
|
Hướng dẫn:
Theo NTBS các nuclêôtit trên gen liên kết với nhau theo nguyên tắc A liên kết với T, G liên kết với X
Vậy: Mạch có trình tự: 3’. . . A - G - X - T - T - A - G - X - A . . .5’
Mạch bổ sung là: 5’. . . T - X - G - A - A - T - X - G - T . . .3’.
=> Chọn đáp án A
| Ví dụ 2: Một gen chứa đoạn mạch bổ sung với đoạn mạch mang mã gốc có trình tự nuclêôtit là: 3’. . . A - G - X - T - T - A - G - X - A . . .5’ |
Xác định trình tự các ribônuclêôtit trên mARN được tổng hợp từ đoạn gen này.
A. 3’... . A - G - X - U - U - A - G - X - A . . . 5’
B. 5’. . . T - X - G - A - A - T - X - G - T . . . 3’
C. 5’. . . A - G - X - U - U - A - G - X - A . . . 3’
D. 3’. . . T - X - G - A - A - T - X - G - T . . . 5’
Hướng dẫn:
- Từ trình tự mạch bổ sung tìm trình tự mạch gốc sau đó tìm trình tự mạch mARN.
- Theo NTBS:
mạch bổ sung: 3’. . . A - G - X - T - T - A - G - X - A . . .5’
mạch gốc : 5’. . . T - X - G - A - A - T - X - G - T . . . 3’
→ ARN : 3’. . . A - G - X - U - U - A - G - X - A . . . 5’
Chọn B.
Lưu ý: Trình tự nuclêôtit mARN giống trình tự nuclêôtit của mạch bổ sung (Thay T bằng U).
Dạng 2: Xác định thành phần nuclêôtít trên gen, ADN, ARN
Bài toán 1: Liên quan đến chiều dài, khối lượng, liên kết hydro và liên kết hóa trị trong gen.
|
Phương pháp: Đưa về hệ phương trình chứa ẩn là các đơn phân của gen (ADN). |
Một số công thức cần ghi nhớ:
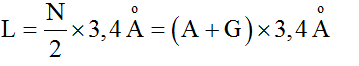
- Chiều dài gen, ADN:

- Khối lượng phân tử của gen, ADN: M = N x 300 (đvC) = (2A + 2G) x 300
- Số nuclêôtít của gen, ADN: N= L/3,4 x 2 = A + T + G + X = 2A + 2G
→ %A + %G = %T + %X = 50%
- Số chu kì xoắn: Sx = N/20 = (2A + 2G) / 20 = (A + G) /2
- Số liên kết hiđrô của gen: H = 2A + 3G (liên kết)
- Số liên kết hóa trị:
+ Số liên kết hóa trị giữa đường và gốc photphat trong 1 nuclêôtít: N
+Số liên kết hóa trị giữa các nuclêôtít trên một mạch của ADN: N/2 - 1
→Tổng số liên kết hóa trị trên phân tử ADN: (N/2 - 1) x 2 + N = 2N – 2 = 4A + 4G – 2
| Ví dụ 1: Một gen có tổng số 3598 liên kết hóa trị và có 2120 liên kết hiđrô. Tính số lượng từng loại nuclêôtit của gen này. |
Hướng dẫn :
Ta có hệ phương trình:

Ví dụ 2: Một gen có khối lượng 540000 đvC và có 2320 liên kết hiđrô. Tính số lượng từng loại nuclêôtít của gen.
Hướng dẫn:

| Ví dụ 3: Một gen có 2346 liên kết hiđrô. Hiệu số giữa Ađênin của gen với một loại nuclêôtit khác bằng 20% tổng số nuclêôtit của gen đó. Tính chiều dài của gen. |
Hướng dẫn:
Ta có hiệu số giữa A của gen với một loại nuclêôtit khác bằng 20% tổng số nuclêôtit của gen đó:

| Ví dụ 4: Một ADN có số liên kết hiđrô giữa các cặp G và X bằng 1,5 số liên kết hiđrô giữa các cặp A và T. Tỉ lệ % tương ứng nuclêôtit của ADN lần lượt là: |
Hướng dẫn:
Theo bài ra ta có: 3G = 1,5× 2 A → G = A;
Mà G + A = 50%
→ A = G = T = X = 25%.
Bài toán 2: Liên quan đến số lượng, thành phần nuclêôtít trên mỗi mạch của gen
|
Phương pháp: Đưa về phương trình chứa ẩn là số nuclêôtít của 1 mạch của gen. |
Một số công thức cần nhớ:
Theo NTBS ta có:
- Về số lượng
A1 = T2; T1 = A2 → A = T = A1 + A2 = T1 + T2 = T1 + A1 = T2 + A2
G1 = X2; X1 = G2 → G = X= X1 + X2 = G1 + G2 = G1 + X1 = G2 + X2
- Về tỉ lệ %

Xem thêm các kiến thức về ADN trong chương Di truyền học trong sách Làm chủ môn Sinh trong 30 ngày |
Ví dụ 1: Nếu như tỉ lệ A +G/T+X ở một mạch của chuỗi xoắn kép của phân tử ADN là 0,2 thì tỉ lệ đó ở sợi bổ sung là bao nhiêu?
Hướng dẫn:

| Ví dụ 2:Một phân tử ADN có chiều dài 510 nm và trên mạch một của gen có A + T = 900 nuclêôtit. Tính số nuclêôtit mỗi loại của ADN trên. |
Hướng dẫn:
N = 3000 nuclêôtít
A = T = A1 + T1 = 900 suy ra G = X = 600.
Ví dụ 3: Một gen có chiều dài 0,306 micrômet và trên một mạch đơn của gen có 35% X và 25% G. Số lượng từng loại nuclêôtit của gen là bao nhiêu?
Hướng dẫn:
Số nucleotit của gen là: N ADN = L/3,4 X 2 = 1800 (nu)
%G = %X = (%G1 + %X1) / 2 = (25% + 35%) / 2 = 30%
% A + %G = 50% => %A = 20%
Số lượng từng loại nu là:
A = T = 20% x 1800 = 360.
G = X = 30% x 1800 = 540.
| Ví dụ 4: Một phân tử mARN có chiều dài 4080 Å, trên mARN có tỉ lệ các loại nucleotit: G : X : U : A = 3 : 4 : 2 : 3. Số nucleotit từng loại của gen tổng hợp nên ADN trên là: |
Hướng dẫn:
Số nuclêôtít của mARN là: N ADN = (4080 / 3,4) x2 = 2400 (nu)
G : X :U :A = 3:3:2:4 =>G = (Gm +Xm)/2 = 3/12 N
=> G = 600 ; A = 600; U = 400 ; X= 800
|
Làm chủ môn Sinh trong 30 ngày Bí quyết chinh phục lý thuyết Sinh học Phương pháp siêu tốc giải trắc nghiệm KHTN môn Sinh học tập 1 Phương pháp siêu tốc giải trắc nghiệm KHTN môn Sinh học tập 2 |
Tin tức khác:
- Phổ điểm chi tiết tất cả các môn thi THPT quốc gia 2023 đối sánh với 2022 - phần 4 (Lịch sử, Địa lí)(18/07/2023)
- Phổ điểm chi tiết tất cả các môn thi THPT quốc gia 2023 đối sánh với 2022 - phần 3 (Hóa học, Sinh học)(18/07/2023)
- Phổ điểm chi tiết tất cả các môn thi THPT quốc gia 2023 đối sánh với 2022 - phần 2 (Tiếng Anh, Vật lí)(18/07/2023)
- Phổ điểm chi tiết tất cả các môn thi THPT quốc gia 2023 đối sánh với 2022 - phần 1 (Toán, Văn)(18/07/2023)
- Nhận định chi tiết về phổ điểm môn ngữ văn thi THPT Quốc gia 2023(18/07/2023)
- Nhận định chi tiết về phổ điểm môn toán thi THPT Quốc gia 2023(18/07/2023)
Bình luận:
1 bình luận

Xem thêm các kiến thức về ADN trong chương Di truyền học trong sách
Lý Thị Hà Trả lời
31/10/2021Một phân tử ADN có tổng số 2400 Nu,số Nu loại A=360.XĐ a:số lượng Nu các loại còn lại trong phân tử ADN. b: Chiều dài và số liên kết hiđrô.